JavaScript 浮点数陷阱及解法
众所周知,JavaScript 浮点数运算时经常遇到会 0.000000001 和 0.999999999 这样奇怪的结果,如 0.1 + 0.2 = 0.30000000000000004、1 - 0.9 = 0.09999999999999998,很多人知道这是浮点数误差问题,但具体就说不清楚了。本文帮你理清这背后的原理以及解决方案,还会向你解释 JS 中的大数危机和四则运算中会遇到的坑。
浮点数的存储
首先要搞清楚 JavaScript 如何存储小数。和其它语言如 Java 和 Python 不同,JavaScript 中所有数字包括整数和小数都只有一种类型 — Number。它的实现遵循 IEEE 754 标准,使用 64 位固定长度来表示,也就是标准的 double 双精度浮点数(相关的还有 float 32 位单精度)。计算机组成原理中有过详细介绍,如果你不记得也没关系。
这样的存储结构优点是可以归一化处理整数和小数,节省存储空间。
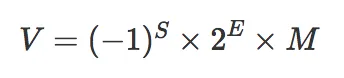
64 位比特又可分为三个部分:
- 符号位 S:第 1 位是正负数符号位(sign),0 代表正数,1 代表负数
- 指数位 E:中间的 11 位存储指数(exponent),用来表示次方数
- 尾数位 M:最后的 52 位是尾数(mantissa),超出的部分自动进一舍零

实际数字就可以用以下公式来计算:

注意以上的公式遵循科学计数法的规范,在十进制是为 0 < M < 10,到二进行就是 0 < M < 2。也就是说整数部分只能是 1,所以可以被舍去,只保留后面的小数部分。如 4.5 转换成二进制就是 100.1,科学计数法表示是 1.001*2^2,舍去 1 后 M = 001。E 是一个无符号整数,因为长度是 11 位,取值范围是 0~2047。但是科学计数法中的指数是可以为负数的,所以再减去一个中间数 1023,[0,1022]表示为负,[1024,2047] 表示为正。如 4.5 的指数E = 1025,尾数 M 为 001。
最终的公式变成:

所以 4.5 最终表示为(M=001、E=1025):

(图片由此生成 http://www.binaryconvert.com/convert_double.html)
下面再以 0.1 例解释浮点误差的原因, 0.1 转成二进制表示为 0.0001100110011001100(1100 循环),1.100110011001100x2^-4,所以 E=-4+1023=1019;M 舍去首位的 1,得到 100110011...。最终就是:

转化成十进制后为 0.100000000000000005551115123126,因此就出现了浮点误差。
为什么 0.1 + 0.2 = 0.30000000000000004?
计算步骤为:
// 0.1 和 0.2 都转化成二进制后再进行运算
0.0001100110011001100110011001100110011001100110011001101 +
0.001100110011001100110011001100110011001100110011001101 =
0.0100110011001100110011001100110011001100110011001100111
// 转成十进制正好是 0.30000000000000004
为什么 x = 0.1 能得到 0.1?
恭喜你到了看山不是山的境界。因为 mantissa 固定长度是 52 位,再加上省略的一位,最多可以表示的数是 2^53 = 9007199254740992,对应科学计数尾数是 9.007199254740992,这也是 JS 最多能表示的精度。它的长度是 16,所以可以使用 toPrecision(16) 来做精度运算,超过的精度会自动做凑整处理。于是就有:
(0.10000000000000000555).toPrecision(16);
// 返回 0.1000000000000000,去掉末尾的零后正好为 0.1
// 但你看到的 `0.1` 实际上并不是 `0.1`。不信你可用更高的精度试试:
(0.1).toPrecision(21) = 0.100000000000000005551;
大数危机
可能你已经隐约感觉到了,如果整数大于 9007199254740992 会出现什么情况呢?
由于 E 最大值是 1023,所以最大可以表示的整数是 2^1024 - 1,这就是能表示的最大整数。但你并不能这样计算这个数字,因为从 2^1024 开始就变成了 Infinity
2 ** 1023
// 8.98846567431158e+307
2 ** 1024
// Infinity
那么对于 (2^53, 2^63) 之间的数会出现什么情况呢?
(2^53, 2^54)之间的数会两个选一个,只能精确表示偶数(2^54, 2^55)之间的数会四个选一个,只能精确表示 4 个倍数- … 依次跳过更多 2 的倍数
下面这张图能很好的表示 JavaScript 中浮点数和实数(Real Number)之间的对应关系。我们常用的 (-2^53, 2^53) 只是最中间非常小的一部分,越往两边越稀疏越不精确。

在淘宝早期的订单系统中把订单号当作数字处理,后来随意订单号暴增,已经超过了
9007199254740992,最终的解法是把订单号改成字符串处理。
要想解决大数的问题你可以引用第三方库 bignumber.js,原理是把所有数字当作字符串,重新实现了计算逻辑,缺点是性能比原生的差很多。所以原生支持大数就很有必要了,现在 TC39 有 Stage 3 的提案 proposal bigint,大数问题有望彻底解决。在浏览器正式支持前,可以使用 Babel 7.0 来实现,它的内部是自动转换成 big-integer 来计算,要注意的是这样能保持精度但运算效率会降低。
toPrecision vs toFixed
数据处理时,这两个函数很容易混淆。它们的共同点是把数字转成字符串供展示使用。注意在计算的中间过程不要使用,只用于最终结果。
不同点就需要注意一下:
toPrecision是处理精度,精度是从左至右第一个不为 0 的数开始数起。toFixed是小数点后指定位数取整,从小数点开始数起。
两者都能对多余数字做凑整处理,也有些人用 toFixed 来做四舍五入,但一定要知道它是有 Bug 的。
如:1.005.toFixed(2) 返回的是 1.00 而不是 1.01。
原因: 1.005 实际对应的数字是 1.00499999999999989,在四舍五入时全部被舍去!
解法:使用专业的四舍五入函数 Math.round() 来处理。但 Math.round(1.005 * 100) / 100 还是不行,因为 1.005 * 100 = 100.49999999999999。还需要把乘法和除法精度误差都解决后再使用 Math.round。可以使用后面介绍的 number-precision#round 方法来解决。
解决方案
回到最关心的问题:如何解决浮点误差。首先,理论上用有限的空间来存储无限的小数是不可能保证精确的,但我们可以处理一下得到我们期望的结果。
数据展示类
当你拿到 1.4000000000000001 这样的数据要展示时,建议使用 toPrecision 凑整并 parseFloat 转成数字后再显示,如下:
parseFloat(1.4000000000000001.toPrecision(12)) === 1.4 // True
封装成方法就是:
function strip(num, precision = 12) {
return +Number.parseFloat(num.toPrecision(precision))
}
为什么选择 12 做为默认精度?这是一个经验的选择,一般选 12 就能解决掉大部分 0001 和 0009 问题,而且大部分情况下也够用了,如果你需要更精确可以调高。
数据运算类
对于运算类操作,如 +-*/,就不能使用 toPrecision 了。正确的做法是把小数转成整数后再运算。以加法为例:
/**
* 精确加法
*/
function add(num1, num2) {
const num1Digits = (num1.toString().split('.')[1] || '').length
const num2Digits = (num2.toString().split('.')[1] || '').length
const baseNum = 10 ** Math.max(num1Digits, num2Digits)
return (num1 * baseNum + num2 * baseNum) / baseNum
}
以上方法能适用于大部分场景。遇到科学计数法如 2.3e+1(当数字精度大于 21 时,数字会强制转为科学计数法形式显示)时还需要特别处理一下。
能读到这里,说明你非常有耐心,那我就放个福利吧。遇到浮点数误差问题时可以直接使用 number-precision
完美支持浮点数的加减乘除、四舍五入等运算。非常小只有 1K,远小于绝大多数同类库(如 Math.js、BigDecimal.js),100% 测试全覆盖,代码可读性强,不妨在你的应用里用起来!
参考
- Double-precision floating-point format
- What Every Programmer Should Know About Floating-Point Arithmetic
- Why Computers are Bad at Algebra | Infinite Series
- Is Your Model Susceptible to Floating-Point Errors?
原文地址 JavaScript 浮点数陷阱及解法